华人色情

华人色情公告

【公示】华人色情 华人色情 2021年硕士研究生复试成绩公示2

  • 作者:
  • 来源:
  • 发布时间:2021-03-29
  • 点击量:

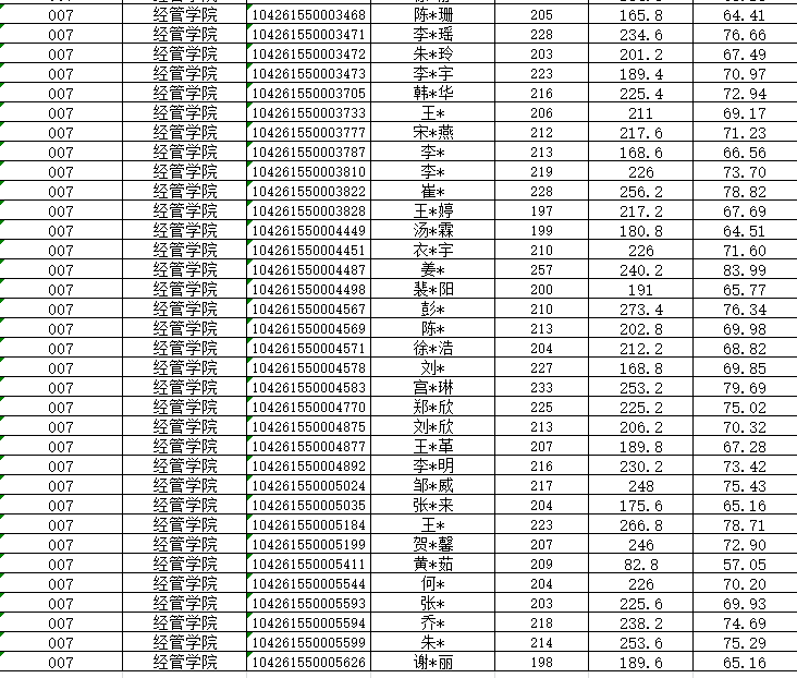
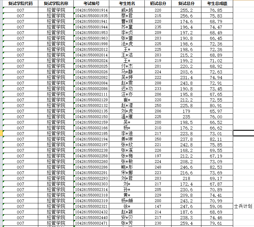
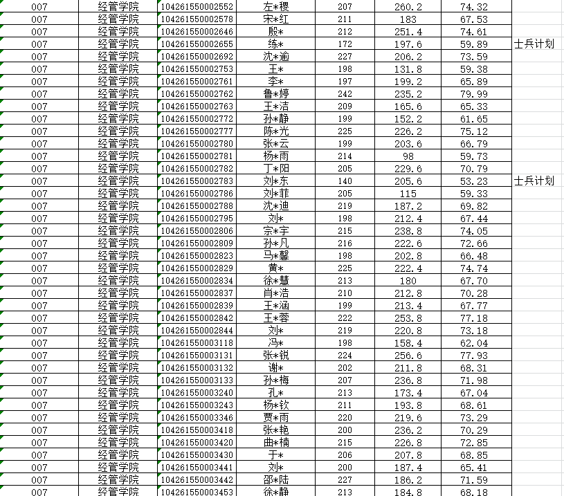
按照学校要求,经学院复试考核,现对华人色情 2021年硕士研究生复试成绩予以公示,若对复试成绩有异议,请联系学院。

工程管理(MEM):李老师 0532-88959186

会计专硕:柳老师0532-88959202

工商管理硕士(MBA):马老师 0532-88956657

研究生招生办公室:0532-88957382

华人色情

2021年3月29日

2021级工程管理专硕复试成绩公示

2021级工商管理专硕复试成绩公示

2021级会计硕士专硕复试成绩公示